
Product center
Contact us
首頁
發布時間:2019-12-04 閱讀量:
在zai機ji械xie運yun動dong控kong製zhi的de中zhong,精jing密mi行xing星xing減jian速su機ji是shi一yi個ge機ji械xie能neng的de轉zhuan換huan環huan節jie,電dian機ji的de轉zhuan矩ju經jing精jing密mi齒chi輪lun減jian速su機ji後hou得de以yi放fang大da,轉zhuan速su得de以yi降jiang低di,反fan之zhi,負fu載zai的de轉zhuan動dong慣guan量liang經jing精密齒輪減速機耦合到電機上,得以減小。其作用見下圖B-1

我們知道,理想的情況是傳遞過程功率守恒,但實際總是有損耗,設傳遞過程的效率是η,那麼:TmWm/η=TL WL
又因為減速比i=Wm/ WL WL = Wm / i(B-1)
所以TL =iηTm(B-2)
Tm——電機力矩(NM),TL——載荷力矩(NM),
Wm,WL——電機,載荷角速度(弧度/s)
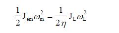
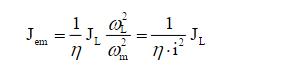
我們再來看一下齒輪減速器對轉動慣量的作用,由能量不滅的基本原理,在傳動鏈中,同一時刻的儲能相等:

從而得出:
(B-3)
Jem——折算到電機軸上的等效轉動慣量(kgm2)
JL——載荷轉動慣量(kgm2)
從上述推演可看出,平時我們很熟悉的關於齒輪箱的公式,都是源自物理學的能量守恒定理。
上述的(1)—(3)表示了減速機的三個基本功能:
1.降低伺服電機的轉速(WL)
伺服電機的額度功率一般體現在轉速1000rpm到6000rpm之間,甚至高達10000rpm以上,實(shi)際(ji)使(shi)用(yong)過(guo)程(cheng)中(zhong)很(hen)少(shao)使(shi)用(yong)到(dao)如(ru)此(ci)高(gao)的(de)轉(zhuan)速(su),同(tong)時(shi)為(wei)了(le)充(chong)分(fen)利(li)用(yong)電(dian)機(ji)的(de)額(e)定(ding)功(gong)率(lv),所(suo)以(yi)需(xu)要(yao)通(tong)過(guo)合(he)適(shi)減(jian)速(su)比(bi)的(de)減(jian)速(su)機(ji)來(lai)獲(huo)得(de)需(xu)要(yao)的(de)工(gong)作(zuo)轉(zhuan)速(su)。
2.轉矩放大(TL)
zaidianjishurugeijiansujidegonglvyidingdeqingkuangxia,youyujiansujishuchusududejiangdi,biranhuihuodegengdadeshuchuzhuanju。henduoqingkuangxiazheyeshibapumangongyekejixuanyongjiansujideyigezhongyaoliyou。
3.匹配負載轉動慣量(Jem)
伺服電機的慣量是比較小的,一般來說折算到伺服電機本身的負載慣量不能超過伺服電機本身慣量的4倍(不同品牌伺服電機的設計有很具體的數據),而er實shi際ji應ying用yong中zhong的de負fu載zai有you很hen多duo種zhong,如ru果guo負fu載zai的de慣guan量liang與yu電dian機ji能neng接jie受shou的de慣guan量liang相xiang差cha太tai遠yuan,就jiu會hui大da大da降jiang低di伺si服fu電dian機ji的de響xiang應ying速su度du,從cong而er影ying響xiang生sheng產chan效xiao率lv和he增zeng大da動dong態tai誤wu差cha。而er行xing星xing減jian速su機ji就jiu能neng起qi到dao匹pi配pei慣guan量liang的de關guan鍵jian作zuo用yong。